*
松井隼さんの思索数学
■ 数学
『<解説> 広告媒体の到達率推定モデル』
*(1) 数学モデルによる到達回数分布の推定 1. 2. 3. 4.

『<解説> 広告媒体の到達率推定モデル』
(252k)

『メソリンガムモデルとその周辺--松井メモ』

『メソリンガムモデルとその周辺』
(264k)

■ 哲学
■ 社会システム設計
■ 学生時代の資料

<解説> 広告媒体の到達率推定モデル(1)

株式会社ビデオリサーチ 常務取締役  木戸 茂

広告媒体計画の評価指標として広告業界では「有効リーチ」あるいは、「有効フリークエンシー」の概念が一般に用いられている。広告の到達回数分布(Frequency Distribution)の推定が重視される背景としては、Krugman(1972,1977)の3ヒット・セオリー(Three-exposure-theory)を根拠とした「3+リーチ」ルールの普及がある。単純なリーチと平均フリークエンシーによる広告管理からより洗練された広告管理システムへの進化である。

到達回数分布の推定の代表的なモデルとしてはMetheringham(1964)のベータ2項分布(Beta-Binomial Distribution :BBD)モデルが挙げられる。

このBBDモデルはテレビと雑誌に関しては事実上の世界標準の推定モデルである。このモデルの際立った特長としては、推定結果が正確であること、推定に必要なパラメータの数が少ないこと(2個)、計算が簡単であるため処理速度が速いこと等が挙げられる。注(1)

日本においても1970年代から、それまで主流であった曲線回帰や指数関数による到達率の推定モデルが到達回数分布の推定モデルへと移行した。

以下はBBDモデルの理論的根拠と計算ロジックである。

1. 数学モデルによる到達回数分布の推定

1.1 ベータ2項分布(BBD) モデルの理論的根拠と仮説

1) 媒体接触する確率Pは対象者ごとに異なるものとしても、対象者全体の中で 確率Pの分布は、β(ベータ)分布に従っている。

2) 媒体接触する確率Pが一定である対象者をグループにくくった場合、N回の 接触回数の分布は二項分布で与えられる。

*  以上のことから、全体の対象者の中で接触回数の分布は、ある一定の確率Pをもったグループごとの二項分布をそのグループの大きさ(β分布で与えられる)をウェイトとして積算すれば求めることができる。
*  たとえば、対象者に一個ずつサイコロを持たせる。
このサイコロをN回ふらせて「2」の目が出る回数を数える。これによって「2」の目が出た回数ごとの対象者の分布をとる。
 もし、全てのサイコロが均質で「2」の目が出る確率が同じであれば、この分布は二項分布に従う。
 しかし、サイコロが均質でなく偏っていて、「2」の出る確率がひとつひとつ異なっているならば、二項分布でなくなる。そこで、このような場合に「2」の出る確率が同じであるサイコロをもっている対象者をひとつのグループにまとめてしまえば、このグループの中では回数分布は二項分布になる。
 全グループの合計の分布を求めるには、対象者へのサイコロの配り方によって一定の確率のサイコロをもっているグループの大きさがわかれば、これをウェイトとして二項分布を合計すればよいことになる。
つまり、このグループの大きさがβ分布で与えられると仮定するのがBBD モデルであ る。


図1 β分布


図2 接触回数の分布

1.2 数式の定義

BBDモデルは(1)式の二項分布と(2)式のβ分布の確率密度関数を合成し た(3)式の接触確率の分布モデルである。

 (1)二項分布
 =
 (2)β分布
 
 (3)接触回数の分布
 
 

〈証明〉
 

1.3 計算方法

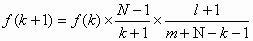
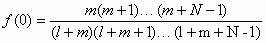
到達率及び接触回数の分布に関する実際の計算は、パラメーター l, mが既に与 えられるならば、次の式で行える。

1) 到達率の計算
   (1)   
によって、到達率(Reach)は
   (2) Reach= 1− 

2) 接触回数の分布の計算
   (3)   
ただし、Nは出稿回数,  =0,1,2,….N-1

1.4 実測データによるパラメータ,の決定方法

*到達率のモデルに関係なく、一般に次の式が成立する。
   (4)     (1≦k≦N)
        : 二項係数
         : N時点の中から取った任意のk時点の
          重複視聴率のあらゆる組合せについて
          の平均
        : 視聴回数i回の視聴者の割合

この式の左辺に実測値から算出したを入れ、右辺にパラメータを含んだの式を入れれば、パラメーターについての方程式が得られる。これを解いてパラメータを決定する。パラメータの数は二つだけなので実際には及びについての方程式を用いることになる。
 BBDモデルの場合のパラメータを決定する方程式は、右辺の和を計算すると、
 
になる。これを解いて、l,mは
  

従って、データによって平均接触率及び平均重複接触率を求めることができれば、モデルのパラメータ、l,mを決定することができる。

    
松井隼記念館運営委員会 fieldlabo@as.email.ne.jp
<