*
松井隼さんの思索数学
■ 数学
『<解説> 広告媒体の到達率推定モデル』

『<解説> 広告媒体の到達率推定モデル』
(252k)

『メソリンガムモデルとその周辺--松井メモ』
*(5) メソリンガムモデル及び負の二項分布モデルにおけるパラメーターの条件及 び平均視聴率、平均重複視聴率の間の制約 4.

『メソリンガムモデルとその周辺』
(264k)

■ 哲学
■ 社会システム設計
■ 学生時代の資料

メソリンガムモデルとその周辺---松井メモ(5)

メソリンガムモデル及び負の二項分布モデルにおけるパラメーターの条件及 び平均視聴率、平均重複視聴率の間の制約

4.が条件式の上限に近づく時の極限分布

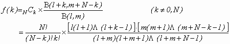
 モデルの如何を問わず、重複視聴率が視聴率そのものに一致してくるわけであるから、この場合にはリーチが全く伸びないということと同じである。従って視聴回数の分布は、N回視聴者の割合が、非視聴者の割合がN-、それ以外にはなし、という両極端に分かれた分布形をとる。このことはメソリンガム分布の場合はf(k)について極限をとれば、直接確かめることができる。



の時 l→0 m→0  但し、であるから


この最後項はに収束する。
従ってf(k)は0に収束する。
これに対してk=0及びNの時は、f(k)は及びに収束することが上と全く同様にして確かめられる。

 しかし負の二項分布モデルの場合は、元来本数は無限大という仮説をベースにしており、n, , はデータとパラメーターを結びつけるために用いられているだけであるから、メソリンガムのような理論どおりの収束を示さない。これはの上限が数式そのものの内在的な条件ではなかったことから考えても当然である。の場合の負の二項分布は最大値がk=N-2に於いて現れる通常の、特殊でない、負の二項分布にすぎない。


の場合のFrequency Distribution 推定モデルについての仮説〉

 視聴回数の分布はk時点平均重複視聴率が全てのkについて与えられば定められる。(メソリンガムモデルの変形についてのレポート参照)
 メソリンガムモデルは一定の仮説から全てのPkを与えることによって視聴回数の分布を定めるものであったが、パラメーターの条件から


の範囲にその適用を制限されている。
 しかし実際には複数媒体又は新聞相互などの場合に上記の制約は、その下限の条件について、必ずしもみたされていない。従ってそのような場合に使用され得るモデル式ないし仮説が必要となる。以下はそのための一つの推論である。
 メソリンガムモデル式を重複視聴率の面から把えると


となっており、と比べると常に

である。


をkについて調べるとを通り1へ収束する分数関数の上に乗せられている。



そしての極限においてはに近づきについては一定値に 収束する。



このパターンからさらにより小になった場合の形態を今度はを 通り0に収束する分数関数の上に乗せることを仮定するのは自然な推論であ ろう。



従っての時は、

      (1)

         (2)

一般に


となることが想定される。

 ここで(1)及び(2)より
   (3)

によってパラメーターA,Bは定められる。

A,Bを(3)で定めてPkを算出すれば到達率についての一般公式を用いて視聴回数の分布は算出可能である。

     
松井隼記念館運営委員会 fieldlabo@as.email.ne.jp